PDB-code
| More entries for 5S7B | |||||
| 5S7B | Alternative model: | B | Chain: | A | |
| Structural information | |
| DFG conformation: | in |
| αC-helix conformation: | in |
| G-rich loop angle (distance): | 54.9° (16.9Å) |
| G-rich loop rotation: | 46.1° |
| Quality Score: | 8.2 |
| Resolution: | 1.32 Å |
| Missing Residues: | 2 |
| Missing Atoms: | 10 |
| Ligand binding mode | ||||
| Pockets | Subpockets | Waters | ||
| front gate | FP-I BP-I-A BP-I-B | Cluster I2 I5 I10 | Ligand No No Yes | Protein No Yes Yes |
| Allosteric Ligand | |||||||||||||||||||
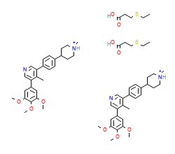
| Allosteric ligand: | LU8 | ||||||||||||||||||
![]() | |||||||||||||||||||
| Pocket alignment | |
| Uniprot sequence: | ECVGKGRYGEVWRVAVKIFSWFRETELYNTVMENILGFIASWLITHYHEMGSLYDYLQLTQGKPAIAHRDLKSKNILVIADLGLA |
| Sequence structure: | ECVGKGRYGEVWRVAVKIFSWFRETELYNTVMENILGFIASWLITHYHEMGSLYDYLQL__GKPAIAHRDLKSKNILVIADLGLA |
| Ligand affinity | |
| Ligand not found in ChEMBL. | |
Kinase-ligand interaction pattern
• Hydrophobic • Aromatic face-to-face • Aromatic face-to-edge • H-bond donor • H-bond acceptor • Ionic positive • Ionic negative
| I | g.l | II | III | αC | |||||||||||||||
| 1 E 212 | 2 C 213 | 3 V 214 | 4 G 215 | 5 K 216 | 6 G 217 | 7 R 218 | 8 Y 219 | 9 G 220 | 10 E 221 | 11 V 222 | 12 W 223 | 13 R 224 | 14 V 232 | 15 A 233 | 16 V 234 | 17 K 235 | 18 I 236 | 19 F 237 | 20 S 244 |
| • | • | • | • | • | |||||||||||||||
| αC | b.l | IV | |||||||||||||||||
| 21 W 245 | 22 F 246 | 23 R 247 | 24 E 248 | 25 T 249 | 26 E 250 | 27 L 251 | 28 Y 252 | 29 N 253 | 30 T 254 | 31 V 255 | 32 M 256 | 33 E 260 | 34 N 261 | 35 I 262 | 36 L 263 | 37 G 264 | 38 F 265 | 39 I 266 | 40 A 267 |
| • | |||||||||||||||||||
| IV | V | GK | hinge | linker | αD | αE | |||||||||||||
| 41 S 268 | 42 W 280 | 43 L 281 | 44 I 282 | 45 T 283 | 46 H 284 | 47 Y 285 | 48 H 286 | 49 E 287 | 50 M 288 | 51 G 289 | 52 S 290 | 53 L 291 | 54 Y 292 | 55 D 293 | 56 Y 294 | 57 L 295 | 58 Q 296 | 59 L 297 | 60 _ _ |
| • | • | ••• | •• | • | • | ||||||||||||||
| αE | VI | c.l | VII | VIII | x | ||||||||||||||
| 61 _ _ | 62 G 328 | 63 K 329 | 64 P 330 | 65 A 331 | 66 I 332 | 67 A 333 | 68 H 334 | 69 R 335 | 70 D 336 | 71 L 337 | 72 K 338 | 73 S 339 | 74 K 340 | 75 N 341 | 76 I 342 | 77 L 343 | 78 V 344 | 79 I 352 | 80 A 353 |
| • | • | • | • | ||||||||||||||||
| DFG | a.l | ||||||||||||||||||
| 81 D 354 | 82 L 355 | 83 G 356 | 84 L 357 | 85 A 358 | |||||||||||||||
| • | |||||||||||||||||||
Interaction pattern search
Search KLIFS for kinase-ligand complexes with similar interaction patterns:






